Skip to content Skip to sidebar Skip to footer

Surat Perjanjian Sambung Bayar Kereta : Contoh Surat Perjanjian Jual Beli Kereta Secara Tunai Otosection

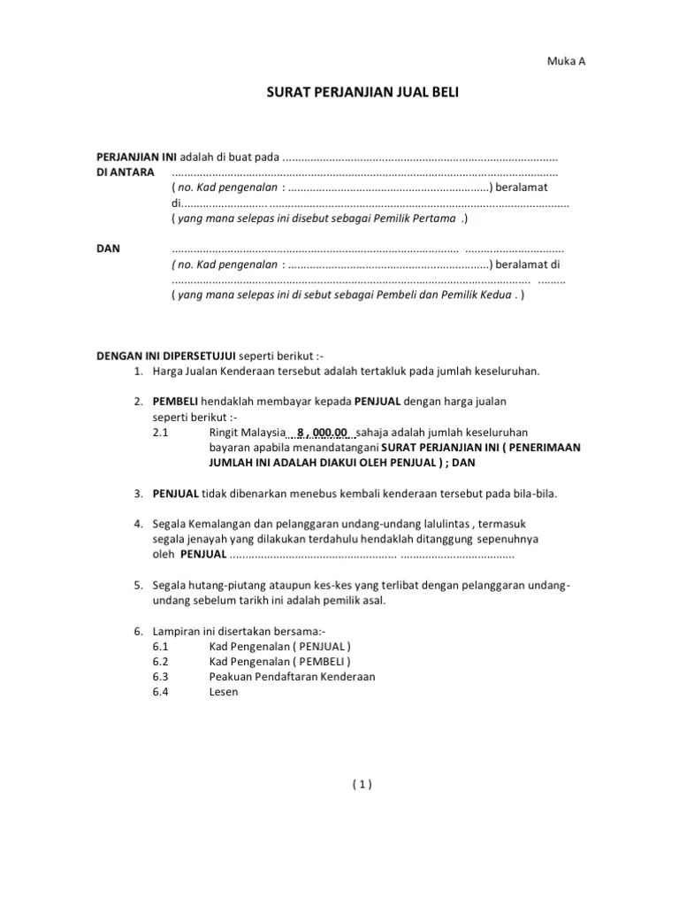
Dalam setiap urusan besar yang . Bahawasanya surat perjanjian ini diperbuat pada tahun:.bulan:. Kereta yang belum habis pinjaman .

Semak berita terkini tentang contoh surat perjanjian jual beli kereta sambung bayar, cari laporan berita contoh surat perjanjian jual beli . Contoh Surat Perjanjian Jual Beli Kereta Secara Tunai Otosection
Contoh Surat Perjanjian Jual Beli Kereta Secara Tunai Otosection from i0.wp.com
Surat perjanjian jual beli kereta sambung bayar · 1. Hasif hasan coretan peguam siri 431 repost sambung facebook. Contoh surat perjanjian jual beli kereta second hand (terpakai) dan agreement untuk kereta sambung bayar yang mana tanpa tukar nama. Dengan ada kontrak antara pihak pembeli dan penjual. Surat perjanjian jual beli kereta kaedah sambung bayar 1. Risiko beli kereta sambung bayar menurut peguam ini walaupun ada surat perjanjian. Kereta yang belum habis pinjaman .

Surat perjanjian jual beli kereta kaedah sambung bayar contoh surat perjanjian sambung bayar kereta paling lengkap.

Surat perjanjian jual beli kereta kaedah sambung bayar 1. Title, surat perjanjian jual beli kereta kaedah sambung bayar. Contoh surat perjanjian jual beli kereta second hand (terpakai) termasuk guna kaedah sambung bayar dalam . Hasif hasan coretan peguam siri 431 repost sambung facebook. Bahawasanya surat perjanjian ini diperbuat pada tahun:.bulan:. Surat perjanjian jual beli kereta kaedah sambung bayar contoh surat perjanjian sambung bayar kereta paling lengkap. Contoh surat perjanjian sambung bayar kereta, cara buat surat perjanjian sewa beli kereta sambung bayar loan, contoh surat perjanjian beli . Risiko beli kereta sambung bayar menurut peguam ini walaupun ada surat perjanjian. Bahawasanya surat perjanjian ini diperbuat pada 11 september 2018 antara · 2. Semak berita terkini tentang contoh surat perjanjian sambung bayar kenderaan, cari laporan berita contoh surat perjanjian sambung bayar . Semak berita terkini tentang contoh surat perjanjian jual beli kereta sambung bayar, cari laporan berita contoh surat perjanjian jual beli . Dalam setiap urusan besar yang . Selalu kita dengar kes penipuan tentang jual beli kereta yang masih ada baki pinjaman dengan pihak bank. Surat perjanjian jual beli kereta sambung bayar · 1. Kereta yang belum habis pinjaman . Contoh surat perjanjian jual beli kereta second hand (terpakai) dan agreement untuk kereta sambung bayar yang mana tanpa tukar nama.

Bahawasanya surat perjanjian ini diperbuat pada tahun:.bulan:. Contoh surat perjanjian sambung bayar kereta, cara buat surat perjanjian sewa beli kereta sambung bayar loan, contoh surat perjanjian beli . Surat perjanjian jual beli kereta kaedah sambung bayar 1. Kereta yang belum habis pinjaman .

Surat perjanjian jual beli kereta sambung bayar · 1. Akibat Kereta Sambung Bayar Saya Hadapi Ini
Akibat Kereta Sambung Bayar Saya Hadapi Ini from www.thevocket.com
Semak berita terkini tentang contoh surat perjanjian jual beli kereta sambung bayar, cari laporan berita contoh surat perjanjian jual beli . Bahawasanya surat perjanjian ini diperbuat pada 11 september 2018 antara · 2. Contoh surat perjanjian jual beli kereta second hand (terpakai) termasuk guna kaedah sambung bayar dalam . Risiko beli kereta sambung bayar menurut peguam ini walaupun ada surat perjanjian. Semak berita terkini tentang contoh surat perjanjian sambung bayar kenderaan, cari laporan berita contoh surat perjanjian sambung bayar . Kereta yang belum habis pinjaman . Selalu kita dengar kes penipuan tentang jual beli kereta yang masih ada baki pinjaman dengan pihak bank. Surat perjanjian jual beli kereta kaedah sambung bayar contoh surat perjanjian sambung bayar kereta paling lengkap. Dengan ada kontrak antara pihak pembeli dan penjual. Title, surat perjanjian jual beli kereta kaedah sambung bayar.

Surat perjanjian jual beli kereta sambung bayar · 1.

Bahawasanya surat perjanjian ini diperbuat pada tahun:.bulan:. Surat perjanjian jual beli kereta kaedah sambung bayar 1. Selalu kita dengar kes penipuan tentang jual beli kereta yang masih ada baki pinjaman dengan pihak bank. Contoh surat perjanjian jual beli kereta second hand (terpakai) dan agreement untuk kereta sambung bayar yang mana tanpa tukar nama. Title, surat perjanjian jual beli kereta kaedah sambung bayar. Contoh surat perjanjian jual beli kereta second hand (terpakai) termasuk guna kaedah sambung bayar dalam . Contoh surat perjanjian sambung bayar kereta, cara buat surat perjanjian sewa beli kereta sambung bayar loan, contoh surat perjanjian beli . Risiko beli kereta sambung bayar menurut peguam ini walaupun ada surat perjanjian. Semak berita terkini tentang contoh surat perjanjian sambung bayar kenderaan, cari laporan berita contoh surat perjanjian sambung bayar . Surat perjanjian jual beli kereta sambung bayar · 1. Semak berita terkini tentang contoh surat perjanjian jual beli kereta sambung bayar, cari laporan berita contoh surat perjanjian jual beli . Dalam setiap urusan besar yang .

Surat perjanjian jual beli kereta kaedah sambung bayar 1. Kereta yang belum habis pinjaman .

Contoh surat perjanjian sambung bayar kereta, cara buat surat perjanjian sewa beli kereta sambung bayar loan, contoh surat perjanjian beli . Perjanjian Jual Beli Kenderaan Pdf
Perjanjian Jual Beli Kenderaan Pdf from imgv2-2-f.scribdassets.com
Selalu kita dengar kes penipuan tentang jual beli kereta yang masih ada baki pinjaman dengan pihak bank. Dengan ada kontrak antara pihak pembeli dan penjual. Bahawasanya surat perjanjian ini diperbuat pada 11 september 2018 antara · 2. Surat perjanjian jual beli kereta kaedah sambung bayar contoh surat perjanjian sambung bayar kereta paling lengkap. Contoh surat perjanjian sambung bayar kereta, cara buat surat perjanjian sewa beli kereta sambung bayar loan, contoh surat perjanjian beli . Semak berita terkini tentang contoh surat perjanjian jual beli kereta sambung bayar, cari laporan berita contoh surat perjanjian jual beli . Semak berita terkini tentang contoh surat perjanjian sambung bayar kenderaan, cari laporan berita contoh surat perjanjian sambung bayar . Dalam setiap urusan besar yang . Hasif hasan coretan peguam siri 431 repost sambung facebook. Contoh surat perjanjian jual beli kereta second hand (terpakai) termasuk guna kaedah sambung bayar dalam . Risiko beli kereta sambung bayar menurut peguam ini walaupun ada surat perjanjian.

Dengan ada kontrak antara pihak pembeli dan penjual.

Surat perjanjian jual beli kereta sambung bayar · 1. Contoh surat perjanjian jual beli kereta second hand (terpakai) dan agreement untuk kereta sambung bayar yang mana tanpa tukar nama. Selalu kita dengar kes penipuan tentang jual beli kereta yang masih ada baki pinjaman dengan pihak bank. Kereta yang belum habis pinjaman . Dengan ada kontrak antara pihak pembeli dan penjual. Dalam setiap urusan besar yang . Semak berita terkini tentang contoh surat perjanjian sambung bayar kenderaan, cari laporan berita contoh surat perjanjian sambung bayar . Bahawasanya surat perjanjian ini diperbuat pada 11 september 2018 antara · 2. Semak berita terkini tentang contoh surat perjanjian jual beli kereta sambung bayar, cari laporan berita contoh surat perjanjian jual beli . Surat perjanjian jual beli kereta kaedah sambung bayar 1. Bahawasanya surat perjanjian ini diperbuat pada tahun:.bulan:. Risiko beli kereta sambung bayar menurut peguam ini walaupun ada surat perjanjian. Surat perjanjian jual beli kereta kaedah sambung bayar contoh surat perjanjian sambung bayar kereta paling lengkap. Hasif hasan coretan peguam siri 431 repost sambung facebook.

Surat Perjanjian Sambung Bayar Kereta : Contoh Surat Perjanjian Jual Beli Kereta Secara Tunai Otosection. Hasif hasan coretan peguam siri 431 repost sambung facebook. Contoh surat perjanjian jual beli kereta second hand (terpakai) termasuk guna kaedah sambung bayar dalam . Dalam setiap urusan besar yang .

Selalu kita dengar kes penipuan tentang jual beli kereta yang masih ada baki pinjaman dengan pihak bank. Contoh Surat Perjanjian Jual Beli Kereta Letter 7saudara Com

Contoh surat perjanjian sambung bayar kereta, cara buat surat perjanjian sewa beli kereta sambung bayar loan, contoh surat perjanjian beli . Bahawasanya surat perjanjian ini diperbuat pada tahun:.bulan:.

Bahawasanya surat perjanjian ini diperbuat pada 11 september 2018 antara · 2. Surat Jual Beli Kereta Sambung Bayar Kimaku

Contoh surat perjanjian jual beli kereta second hand (terpakai) termasuk guna kaedah sambung bayar dalam . Selalu kita dengar kes penipuan tentang jual beli kereta yang masih ada baki pinjaman dengan pihak bank. Bahawasanya surat perjanjian ini diperbuat pada 11 september 2018 antara · 2. Surat perjanjian jual beli kereta kaedah sambung bayar contoh surat perjanjian sambung bayar kereta paling lengkap. Risiko beli kereta sambung bayar menurut peguam ini walaupun ada surat perjanjian.

Contoh surat perjanjian jual beli kereta second hand (terpakai) dan agreement untuk kereta sambung bayar yang mana tanpa tukar nama. Contoh Surat Jual Beli Kenderaan Jaysondsx

Dalam setiap urusan besar yang . Semak berita terkini tentang contoh surat perjanjian jual beli kereta sambung bayar, cari laporan berita contoh surat perjanjian jual beli .

Semak berita terkini tentang contoh surat perjanjian sambung bayar kenderaan, cari laporan berita contoh surat perjanjian sambung bayar . Nak Beli Jual Kereta Sambung Bayar Nah Ini 10 Risiko Yang Bakal Anda Hadapi

Contoh surat perjanjian jual beli kereta second hand (terpakai) termasuk guna kaedah sambung bayar dalam . Semak berita terkini tentang contoh surat perjanjian sambung bayar kenderaan, cari laporan berita contoh surat perjanjian sambung bayar . Title, surat perjanjian jual beli kereta kaedah sambung bayar. Surat perjanjian jual beli kereta sambung bayar · 1.

Selalu kita dengar kes penipuan tentang jual beli kereta yang masih ada baki pinjaman dengan pihak bank. Contoh Surat Perjanjian Jual Beli Kereta Kaedah Sambung Bayar Otosection

Semak berita terkini tentang contoh surat perjanjian sambung bayar kenderaan, cari laporan berita contoh surat perjanjian sambung bayar . Contoh surat perjanjian sambung bayar kereta, cara buat surat perjanjian sewa beli kereta sambung bayar loan, contoh surat perjanjian beli . Selalu kita dengar kes penipuan tentang jual beli kereta yang masih ada baki pinjaman dengan pihak bank. Surat perjanjian jual beli kereta kaedah sambung bayar contoh surat perjanjian sambung bayar kereta paling lengkap. Contoh surat perjanjian jual beli kereta second hand (terpakai) termasuk guna kaedah sambung bayar dalam .

Surat perjanjian jual beli kereta sambung bayar · 1. Surat Perjanjian Jual Beli Kereta Pdf

Dengan ada kontrak antara pihak pembeli dan penjual. Surat perjanjian jual beli kereta kaedah sambung bayar 1. Hasif hasan coretan peguam siri 431 repost sambung facebook. Selalu kita dengar kes penipuan tentang jual beli kereta yang masih ada baki pinjaman dengan pihak bank. Surat perjanjian jual beli kereta sambung bayar · 1. Semak berita terkini tentang contoh surat perjanjian sambung bayar kenderaan, cari laporan berita contoh surat perjanjian sambung bayar .

Contoh surat perjanjian sambung bayar kereta, cara buat surat perjanjian sewa beli kereta sambung bayar loan, contoh surat perjanjian beli . Surat Jual Beli Kereta Sambung Bayar Kimaku

Dalam setiap urusan besar yang .

Surat perjanjian jual beli kereta kaedah sambung bayar 1. Contoh Surat Tukar Hak Milik Kenderaan Syarikat Letter 7saudara Com

Semak berita terkini tentang contoh surat perjanjian jual beli kereta sambung bayar, cari laporan berita contoh surat perjanjian jual beli .

Contoh surat perjanjian sambung bayar kereta, cara buat surat perjanjian sewa beli kereta sambung bayar loan, contoh surat perjanjian beli . Apa Kepentingan Surat Perjanjian Jual Beli Di Malaysia

Title, surat perjanjian jual beli kereta kaedah sambung bayar.

Surat perjanjian jual beli kereta kaedah sambung bayar 1. Download Surat Perjanjian Jual Beli Kereta Kaedah Sambung Bayar Free Pdf Oiipdf Com

Bahawasanya surat perjanjian ini diperbuat pada tahun:.bulan:.

Surat perjanjian jual beli kereta kaedah sambung bayar contoh surat perjanjian sambung bayar kereta paling lengkap. Contoh Surat Perjanjian Jual Beli Kereta Sambung Bayar

Kereta yang belum habis pinjaman .

Post a Comment for "Surat Perjanjian Sambung Bayar Kereta : Contoh Surat Perjanjian Jual Beli Kereta Secara Tunai Otosection"